![]() |
|
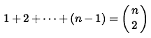
There are as many yellow dots above the bottom row of the triangle as there are pairs of gray dots on the bottom row.
To see this, note that every yellow
dot determines a pair of gray dots by projecting it down to the left and to
the right. Conversely, you can go up from any pair of gray dots up to a yellow
dot.
